
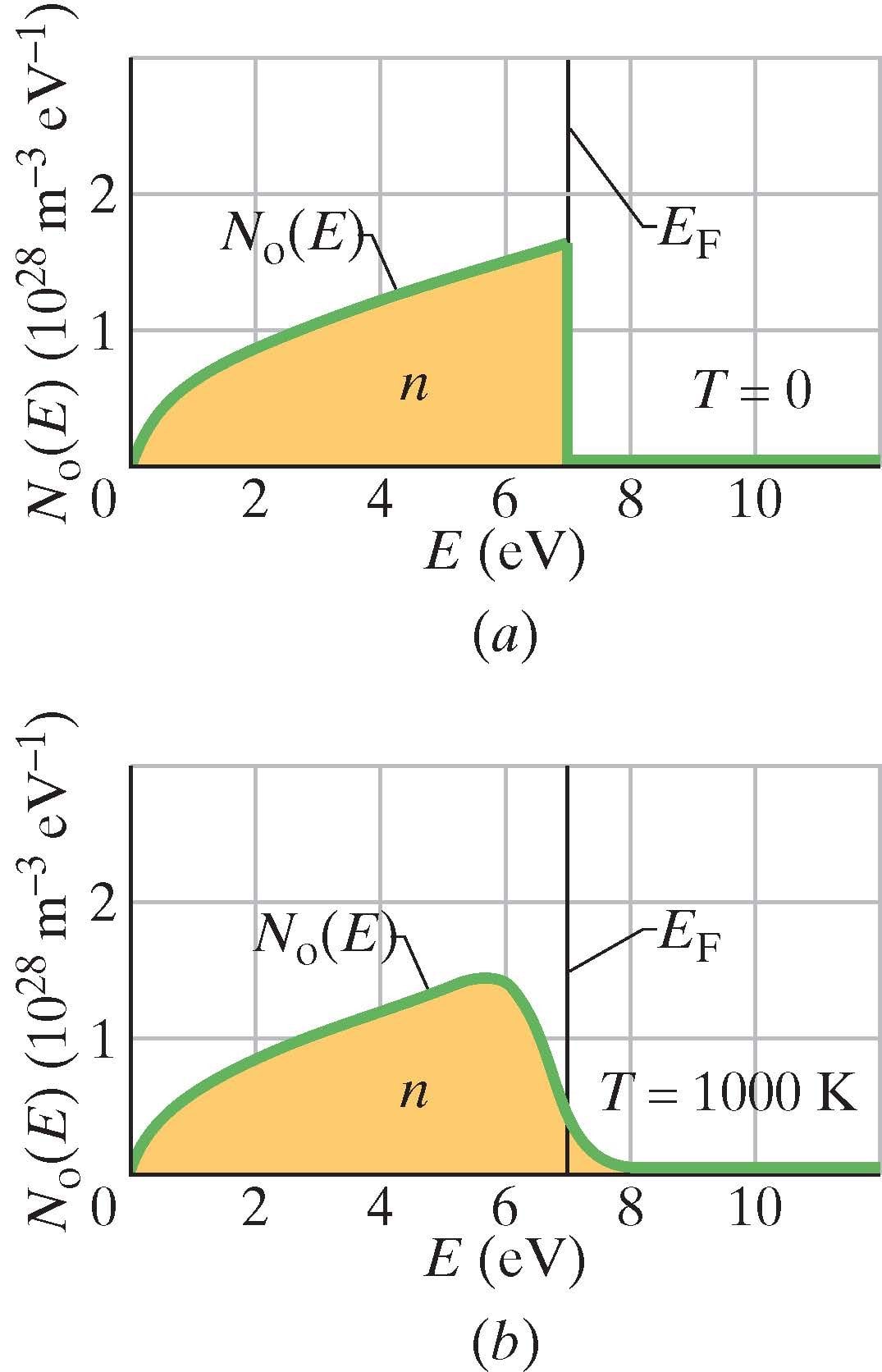
JOONIS 41-8 (a) Hõivatud seisundite tihedus $N_0(E)$ vase jaoks absoluutse nulli korral. Kõvera alune pindala on elektronide arvtiheduse väärtus $n$. Pange tähele, et kõik seisundid kuni Fermi energiani $E_F = 7\, \mathrm{eV}$ on hõivatud ja et seisundid ülalpool Fermi energiat on tühjad. (b) Sama vase jaoks $T = 1000\, \mathrm{K}$ korral. Pange tähele, et üksnes Fermi energia lähedase energiaga elektronid on mõjutatud ja nende jaotus on muutunud.
© halliday