
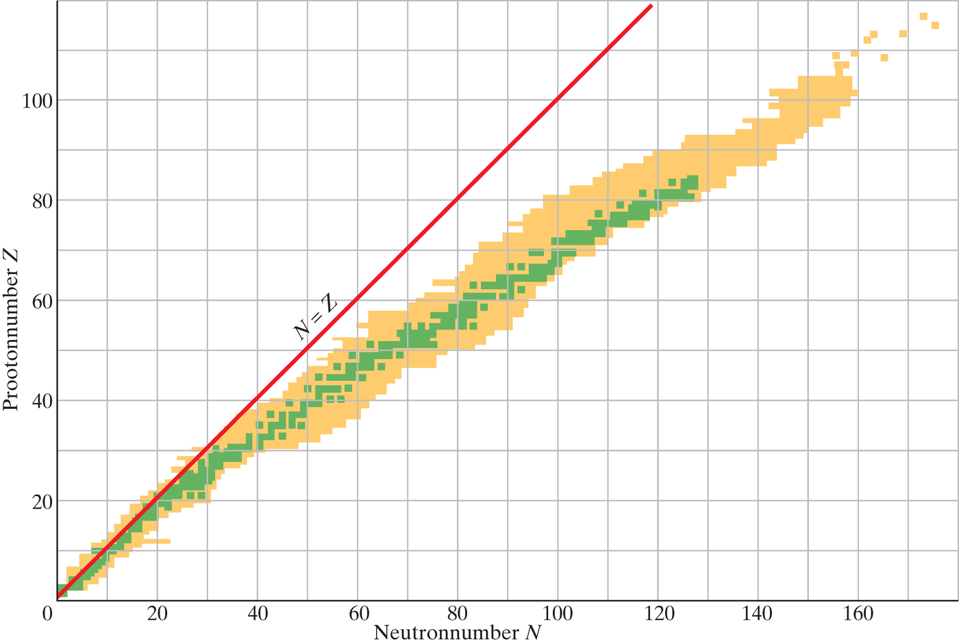
JOONIS 42-4 Tuntud nukliidide diagramm. Roheline ala tähistab stabiilseid nukliide, beež radionukliide. Väikese massiga stabiilsed nukliidid sisaldavad enam-vähem ühepalju neutroneid ja prootoneid, kuid massiivsematel nukliididel on ülekaalus neutronid. Graafikult on näha, et pole olemas stabiilseid nukliide, millede aatomnumber $Z \gt 83$ (element, mille $Z = 83$, on vismut).
© halliday