
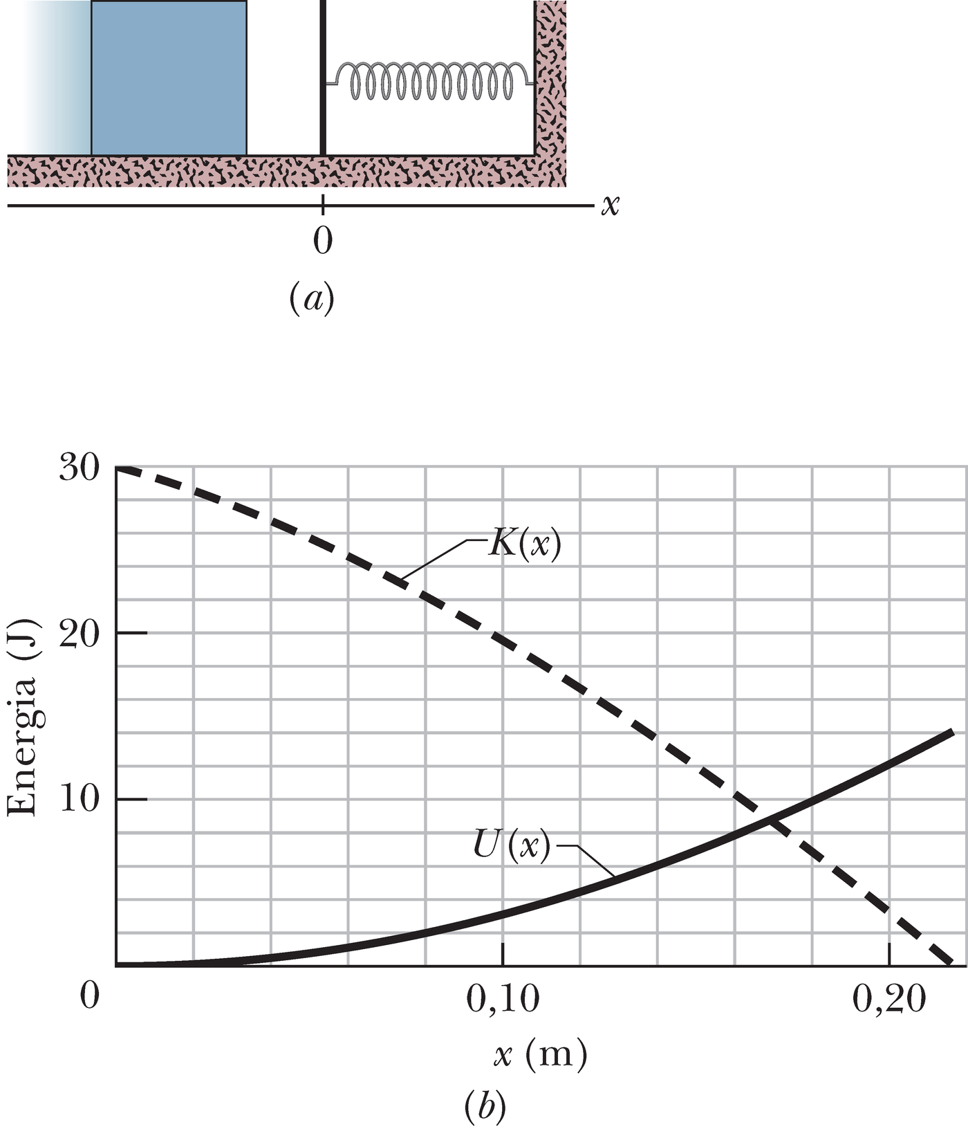
JOONIS 8-20 (a) Klots enne põrkumist vedruga. (b) Klotsi kineetilise energia $K$ ja potentsiaalse energia $U$ muutumine vedru kokkusurumise ajal kuni klotsi peatumiseni.
© halliday

JOONIS 8-20 (a) Klots enne põrkumist vedruga. (b) Klotsi kineetilise energia $K$ ja potentsiaalse energia $U$ muutumine vedru kokkusurumise ajal kuni klotsi peatumiseni.