Soojushulk, erisoojus, võimsus
How much heat?
Pass of the hour

What we learn here
  • The law of conservation of energy applies to heat transfer.
  • The law of conservation of heat holds that heat transfer is governed by the law of conservation of heat.It takes a different amount of heat energy to heat a body of the same mass but made of different materials. The heat energy released when these bodies cool down is also different.
  • The heat capacity shows how much heat energy can be stored in a body.

Learning path

Learning focus

Soojushulk, mis kandub ühelt kehalt teisele on energia ja me mõõdame seda dzaulides.



Metoodilised juhised

Warm-up

To start this topic, we can talk, for example, about heating costs, which is a topical issue at the moment. Although students do not yet have to pay their own heating costs, it may affect them in other ways, for example through the amount of pocket money.

Students are expected to not be able to answer the question in the first worksheet, but we will come back to it during the lesson.

Energy must be accounted for

Energy is a physical quantity that can be measured and often converted into euros. Do we report it to ourselves? Can we do this trick?

Conservation of (heat) energy

Next, we begin to calculate the amount of energy transferred from one body to another in heat transfer.

The fact that the law of conservation of energy applies in heat transfer is very important. Of course, it is also a very fundamental and therefore quite abstract law, but we take it into account in all our calculations, which is why it is reasonable to discuss it once in its pure form.

Residual energy in heat transfer

In heat transfer, the law of conservation of energy applies. Heat is not coming from anywhere. Let's find out more.

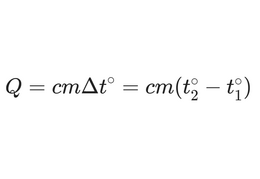
Calculation of heat input

We learn to calculate how much energy a lamb has in its bodies.

It is important to emphasize that we do not calculate how much heat is in a body in total. We calculate how much energy needs to be added to the body or how much energy is released when the body's temperature changes by a certain number of degrees.

Let's start by trying to establish hypotheses about which properties of the body depend on the amount of heat stored in them.

Which bodies can store more heat?

What properties of the body depend on how much heat is released when they cool down, or how much more heat needs to be added to them to raise their temperature? Think about it. Answer the question.

Moving step by step, you could next familiarize yourself with the concept of specific heat of a substance and try to connect it with the discussions on the previous slide.

What is specific heat and what does it measure?

Let's define the concept of specific heat. Let's try to apply it by answering the questions.

Now the formula or model:

How do I calculate the heat flux?

What properties of the body do we need to know in order to calculate the amount of heat required to heat it or the amount of heat released when it cools? Let's get acquainted with the formula.

Let's calculate

In the following worksheet, we will also try to use the formula for calculating the amount of heat. Hopefully, based on the above, the students will understand what is meant by this formula and why the formula looks like this.

The worksheet can also calculate the amount of heat by entering the corresponding parameters, thanks to which it is possible to quickly calculate the amount of heat released or absorbed during the cooling or heating of different bodies or to check the result of your own calculations.

Calculation of heat input

We calculate the change in internal energy of a body made of three different materials through heat transfer. The temperature change of the bodies is degrees.

In the following, we will try to answer the question about the cost of taking a shower in the interest generator. For this we need to start with units of energy.

Nobody likes converting units, but there's no other way to deal with real life than to do it anyway. It is a fact that electricity bills say kilowatt-hours, not joules.

Students probably already know how to use various unit conversion calculators that can be found through google. If you write " J to kwh " in the search, the first match is a perfectly good and reasonable calculator. We think that the ability to use such aids is something that could be used when dealing with more complex units, such as kilowatt-hours.

For the sake of completeness of our study materials, we have also created one such simple calculator. In any case, the topic given here should be discussed with the students.

My friend kilowatt-hour

Get to know the energy unit kilowatt-hour. Learn how to convert energy from joules to kilowatt hours and back, either by hand or using a calculator.

Now, finally, the price calculation:

Cost

So how much does an average shower cost?

Mechanics and thermal studies

At this point, it is also important to create a connection between the study of heat and what was learned in mechanics, that is, to remind us what we already know about the physical quantity called energy. Therefore, you have to remember what you learned in the mechanics course.

Content integration is undoubtedly important, and here is where it is especially necessary to address it. At the same time, making such connections is difficult for many students, so in each specific situation it should be decided separately whether the use of the following worksheets is appropriate or not.

If the temperature does not change, the change in temperature does not occur

Mechanical energy becomes heat, heat becomes mechanical energy. Energy is measured in joules.

Summary

Soojushulk. Erisoojus: tähtsad laused

Here are some important phrases that you can take away from this lesson to understand.

Questions and tasks

Teadmiste kontroll: soojushulk, erisoojus

Check your knowledge and understanding by answering the questions.

My additional materials
My additional materials
Calorimetric experiments

What we learn here
  • Mis on soojushulga määramise katsed ehk nn kalorimeetrilised katsed ning kuidas neid läbi viiakse.
  • Millised on kalorimeetriliste katsete rakendusvaldkonnad.

Learning path

Learning focus

Soojushulka on võimalik katses mõõta, kui üks soojusülekandes osalevatest kehadest on tuntud omadustega.


Metoodilised juhised

Warm-up

In the following introductory slide, experiments are proposed to determine both the specific heat and the nutritional value of food. It is clear that both experiments cannot be done in one hour, and a decision must be made.

The nutritional value test also produces a considerable amount of fat, which is why it might make more sense to study it using a video instead. In any case, one could hope that the answer to the question "Does one or another food have a good effect on my weight?" could encourage students to think along.

We measure energy

Similar to determining the specific heat of a material, we can also determine a quite important parameter in everyday life - the nutritional value of food. How?

What are calorimetric experiments

Ideally, when performing calorimetric experiments, students could also understand why these experiments are performed in this way. Thanks to this, they would also be able to manage their own activities, and not just act based on the points of the work manual. However, this is not easy to achieve, because practically all the knowledge learned in the previous lessons comes into play. That's why we start step by step, not just by handing over work instructions.

Let us first recall how well-known phenomena are explained through the terms we discussed earlier. So: how do you explain the cooling of a metal body placed in water through "heat transfer" and "thermal balance". Then it is easier to start explaining the general principle of calorimetric experiments.

What happens if you place a warm metal cylinder in cold water?

Use the drawing and carry out a thought experiment in which a hot metal body is placed in cold water. Explain what is happening using the terms heat transfer and thermal equilibrium. Answer the question.

Next, we take up the generalized form of the principle of calorimetric experiments with a definition. The worksheet also asks for the possibility to calculate the amount of heat given off by the test object. For this purpose, the test object must be weighed, if this has not been done before. Designing such "holes" in students' paths is beneficial because it fosters the ability to think and make decisions independently.

Principle of calorimetric experiments

Consider the principle of calorimetric experiments. Answer the question.

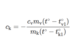
The next worksheet also provides a mathematical derivation of the final formula describing the experiment. This could be taken as an example of how physicists themselves use physical models, mathematical transformations and final formulas of various forms. It could be affordable for better students.

Describing calorimetric experiments with formulas (for physicists)

We derive a formula that describes calorimetric experiments. Answer the question.

Determination of the specific heat of the substance of the test object

Let's start the preparation of the real experiment by talking about heat losses in calorimetric experiments. However, this topic can also be moved to the discussion of test results, or even skipped altogether.

Heat losses in calorimetric experiments

Find out how heat losses occur. How to reduce heat loss? How heat losses affect the reliability of calorimetric experiments. Answer the question.

We offer three options for conducting the test.

The first option tries to carry out the work in a way that once again emphasizes the idea of ​​the method - the amount of heat given off by the body under study increases the temperature of the known body, which in turn allows us to calculate the specific heat of the material of the body under study. In this case, the experiment and the analysis of its results are divided into three worksheets.

First, a worksheet for conducting the experiment.

Determining the specific heat of aluminum: let's do an experiment

The data needed to determine the specific heat of aluminum must be measured in the experiment.

Next, we calculate the amount of heat transferred to the water in the calorimeter.

How much heat did the water gain?

Using a calculator, calculate how much heat was added to the water in the calorimeter when the hot test object cooled in it.

Finally, using the amount of heat calculated in the previous worksheet and the test data, we calculate the specific heat of the body material (aluminum) under study.

​​​​​​​

The specific heat of the substance of the body under study

Calculate the specific heat of aluminum based on your experimental data. Compare the obtained value with the known value found in the tables and analyze the possible errors made during the experiment.

The worksheet of the second variant uses the final formula derived above to calculate the specific heat of the material of the test object.

Determination of the specific heat of the substance of the test object using the final formula

Determine the specific heat of aluminum using the calorimetric method. Analyze possible sources of error.

The worksheet of the third variant is structured in a way that allows measuring the specific heat of a test object made of any material. In doing so, the effect of the inner aluminum cup of the calorimeter on the test result is also taken into account.

Determination of the specific heat of the test object material considering the heat capacity of the calorimeter cup

Determine the specific heat of the material of the test object using the calorimetric method, taking into account the heat capacity of the aluminum cup of the calorimeter. Analyze possible sources of errors.

Determining the nutritional value of food

In this subsection, there are materials that allow us to relate the heat teaching material to topics that are close to the students: the calories hidden in foods, that is, the nutritional value of foods. These topics are also dealt with in other courses, which is why the integration with physics is absolutely appropriate.

On the first slide, we remind you of the relationship between a calorie and a joule.

Energy in food

Get to know the concept of food energy and the measurement units used to measure it. Relate them to the joule, the usual unit of energy in physics, which you have already learned. Answer the question.

Try it yourself: put a nut or cereal on the fire and see how much the water heats up. So then we try to calorimetrically measure the chemical energy released during combustion.

The test is "dirtier" than the cooling/heating of the test object - smoke is emitted and the worktops have to be cleaned later.

We measure the nutritional value of the nut

See how the nutritional value of a nut is measured in a video experiment. Enter the test data into a table, make calculations and answer the questions.

Summary

Kalorimeetrilised katsed: tähtsad laused

Kalorimeetrilised katsed: tähtsad laused

Questions and tasks

Teadmiste kontroll: kalorimeetrilised katsed I

Kasuta oma uusi teadmisi ja arusaamist küsimustele vastamiseks ja ülesannete lahendamiseks.

Teadmiste kontroll: kalorimeetrilised katsed

Check your knowledge and understanding by answering the questions.
My additional materials
Soojuse salvestamine

Here we find out

  • Kui suur ja millisest materjalist peab olema keha, mille sisse saaks mingi osa talvel vajaminevast soojusest suvel tallele panna.
Warm-up

Siit see siis lõpuks tuleb.

Kui suur kivi?

Kui suurt kivi on vaja, et panna selle sisse terve suve soojus?
Kütame maja suvel salvestatud soojusega

Igaks-juhuks tuletame esmalt meelde eespool juba kasutatud töölehte, mis tutvustab energiaühikut kilovatt-tund, selle teisendamist džaulideks ning küsib mõned küsimused. 

My friend kilowatt-hour

Get to know the energy unit kilowatt-hour. Learn how to convert energy from joules to kilowatt hours and back, either by hand or using a calculator.

Edasi siis meie suur küsimus: „Kas Eestis on võimalik maa sisse salvestatud soojusega talvel maja ära kütta?"

Alustuseks peaksime hindama kui palju energiat talviseks kütmiseks kulub.

Selge see, et õpilased oma kodu energiatarbimist ei tea ... arvatavasti teavad seda harva isegi küttearveid maksvad isikud ise. Siiski saame oma arutluste ja hinnangute aluseks võtta teatud standardid, mida nimetatakse energiaklassideks. Järgnev tööleht on mõeldud just selle jaoks.

Kui palju kulub kütmiseks: energiaklassid ja ruutmeetrid

Milline on sinu kodu aastane ja igapäevane energiavajadus ning kui palju selline kogus energiat maksab? Kui palju energiat tahaksid suvel talve jaoks tallele panna?

Kui energiavajadus on teada, saame varasemaid teadmisi kasutades arvutada kas ja kuhu seda salvestada saaks.

Kui suur peab soojust salvestav kivi olema?

Arvutame, kui suur peaks olema kivikamakas, mille sisse mahuks ära talviseks kütmiseks vajaminev energia.

"Liivapatareid" saaks kasutada taastuvenergia salvestamiseks?

Taastuvenergia ülejääk liiva soojendamiseks

Tutvu veebilehel kirjeldatud taastuvenergia salvestamise projektiga. Hinda seal esitatud andmete õigsust.

Selle teema lõpetuseks oleks ehk paslik meelde tuletada kursuse algusest pärit töölehte, milles siin käsitletud küsimuste kohta arvamust avaldasime.

Kuidas suvist soojust talviseks kütmiseks kasutada?

Arutleme joonise põhjal, kas suvise soojuse saaks „keldrisse hoiule panna," et seda siis talvel maja kütmiseks kasutada?
Summary

Soojusõpetust on kasulik tunda

Väidame siin, et loodusseadused, millega me soojusõpetuses tutvust teeme, on igapäevaelu probleemide lahendamisel ka päriselt kasulikud.

Questions and tasks
Uuri välja, kas sinu kodu energiaklass on määratud.
Millisest materjalist keha on soojuse salvestamiseks sobivaim?
My additional materials
Power

Here we find out

  • Kuidas kasutatakse mehaanika kursusest tuntud võimsuse mõistet soojusõpetuses energia ülekande kiiruse kirjeldamiseks ning arvutamiseks.
  • Miks on tähtis teada kui kiiresti soojusvahetuses energiat üle kantakse.
Warm-up

Energia ja võimsus on teemad, mis on üliolulised nii Eesti kui ka terve inimkonna tulevikku määravate küsimuste aruteludes. Näiteks on rohepöörde läbiviimiseks vaja taastuvenergiaallikaid kasutades toota mingi kindel kogus energiat, mistõttu oleks meil vaja teada, kas ja kuidas see taastuvenergiallikaid kasutades võimalik on. Lisaks räägime energiast ka näiteks toitumisega seotud küsimustes.

Siiski on põhikooliõpilastel päris keeruline aru saada näiteks keskmise ja hetkvõimsuse vahelisest erinevusest. Lisaks on raske mõista, et energia jäävuse seadus kehtib tõepoolest kogu looduses ühtviisi - füüsikast bioloogiani, matemaatiliset pendlist inimesteni.

Proovime siin pakkuda töölehti, mis võimaldavad tegeleda oluliste teemadega piisavalt lihtsal ning õpilasete jaoks olulisel viisil.

Alustame sissejuhatavate töölehtedega - neid on siin välja pakkuda kaks.

Esimene neist viitab küsimusele: „Mida päikesepatareidega saab ja ei saa teha?"

Kui kiiresti saab?

Reaalelulistes situatsioonides peame me teadma kui kiiresti energia liigub ehk kui suur on soojusülekande võimsus.

Teine variant mängib kulinaaria valdkonna suurte numbritega.

Keedame suppi tervele Eestile?

Energia liikumise kiirusest oleme väga huvitatud ka näiteks toidu valmistamisel.
Power

Alustame sellest, et defineerime soojusõpetusele kohasel viisil võimsuse ja teeme mõned arvutused, mis peaksid näitama võimsuse mõiste ... võimsust. 

Work, energy and power

Tuletame meelde võimsuse definitsiooni. Vastame küsimustele. Arvutame.
Uurime teetassi jahtumist

Küttekeha võimsus näitab kui palju soojusenergiat küttekeha ajaühikus soojusvahetuses kaotab/edasi annab. Tavaelus tajume me seda võimsust halvasti - radiaator lihtsalt seisab nurgas ning justkui ei tee mitte midagi ... ja siis tuleb küttearve, ei-tea-millest. Proovime siinkohal tekitada arusaama sellest, et soojus tõepoolest liigub. Seda liikumist on võimalik üheselt ja täpselt mõõta ning võimsus vattides on praktiline info, mida maailma eri osade kohta teada.

Esimeses katses uurime vee jahtumist. Mõõdame vee temperatuuri muutumist ajas ning selle järgi saame teada, milline on võimsus, millega selline veega topsik tuba kütab.

Millise võimsusega kütab jahtuv keha ümbritsevat keskkonda

Analüüsi pildil kujutatud situatsiooni, milles tass kuuma tee või kohviga jahtub. Tutvu esitatud arutlus- ja arvutuskäiguga. Vasta küsimustele.

Teeme nüüd ka katse.

Katse läbiviimiseks pakume välja kaks metoodikat.

Esimeseks metoodikaks on nn ühiseksperiment. Nimelt selgitatakse katse alguses klassile, et me teeme seda katset koos: õpetaja ütleb, millal katse algab ning millal tuleb temperatuuri esimest korda mõõta. Kui aeg on läbi, kordame ning mõõdame temperatuuri ka teist korda. Nüüd saame vee massi mõõta (lahutades veega anuma kogumassist anuma massi) ning viia läbi rehkendused.

Kasulik on katse koos õpilastega läbi teha ehk panna katse ka õpetaja lauale „käima," võtta lugemeid, rehkendada jne. See annab õpilastele võimaluse aeg-ajalt piiluda, mida õpetaja teeb.

Tulemusi peaks tahvlil võrdlema ning koos analüüsima. Informatiivne on koos vaadata õpilaste poolt arvutatud võimsust ning topsis oleva vee algtemperatuuri. Üldiselt tuleb välja seaduspärasus, mille kohaselt kõrgem vee temperatuur tähendab kiiremat jahtumist. Seda saab õpilastele selgitada: soojemaks köetud maja kaotab soojust alati kiiremini, st talvel tähendab kõrgem toatemperatuur suuremaid küttearveid. 

Jahtuv keha kütab ümbritsevat keskkonda: üks temperatuur

Mõõda katses kui suure võimsusega kütab alumiiniumtopsikus jahtuv kuum vesi ümbritsevat keskkonda.

Teises metoodikas koguvad kõik õpilased piisavalt andmeid selleks, et jahtumise kiiruse ning seega ka kütmise võimsuse kohta järeldusi teha.

Jahtuv keha kütab ümbritsevat keskkonda: võimsuse temperatuurisõltuvus

Mõõda katses kui suure võimsusega kütab alumiiniumtopsikus olev kuum vesi jahtudes ümbritsevat keskkonda. Tee kindlaks kuidas sõltub võimsus jahtuva keha temperatuurist.

Mõned ilmekad arvutused.

Jahtuv teetass vs päikesepaneelid

Tutvu ülesandes kirjeldatud olukorraga. Arvuta. Analüüsi.

Võimsus soojusõpetuses ja mehaanikas

Ka võimsuse mõistega oleme mehaanikas juba kokku puutunud. Proovime siin paralleele tuua, teades, et igasugune mehaaniline energia muutub lõppude lõpuks soojuseks.

Võimsus mehaanikas ja soojusõpetuses

Võrdle kuidas kasutatakse võimsuse mõistet soojusõpetuses ja mehaanikas. Analüüsi olukorda. Vasta küsimustele.
Kui kaua aega kulub soojuse salvestamiseks

Niisiis on suvise soojuse salvestamine võimalik, ent see energia tuleb kusagilt saada. Selge see, et tahame selle energia saada taastuvenergiaallikatest.

Proovime järgnevas teha mõned rehkendused, et mõista, kuidas see tegelikkuses töötaks.

Kõigepealt tutvume päikesekiirguse näitel ideega, mille kohaselt saab energiat arvutada teades, kui suur on energiavoo võimsus ruutmeetri kohta.

Kui kiiresti päikeseenergia koguneb?

Päikesekiirgust iseloomustab selle võimsus ruutmeetri kohta. Õpime seda päikesekiirgusena saadud energia arvutamiseks kasutama. Vasta küsimustele.

Edasi nendime, et sellised andmed - maksimaalne võimalik aastane keskmine võimsus ühe või teise taastuvenergiaallika jaoks - on olemas kõigi taastuvenergiaallikate jaoks. Järelikult saab misiganes taastuvenergiaallikaga toodetavat energiahulka arvutada, kui teame, kui suure võimsusega see taastuvenergiaallikas ühe ruutmeetri kohta energiat toodab.

Taastuvenergia tootmise maksimaalne võimsus

Tutvu materjalidega, mis kirjeldavad, kuidas erinevate taastuvenergiaallikate poolt ühe aasta jooksul toodetavat energiahulka hinnata. Vasta küsimustele.

Lõpuks sõlmime otsad kokku ja arvutame, kui suur peab minimaalselt olema meie päikese- või tuulepark, et püstitatud eesmärk - koguda meie majapidamises kogu talveks vajaminev energia suvel kokku - oleks realiseeritav.

Kui suurt krunti vajaksime?

Hinda, kui suurt maatükki oleks vaja, et tarvilik kogus taastuvenergiat suve jooksul kokku koguda.

Veel üks mõttemäng.

Kassipildi energeetika

Kassipildi energeetika
Summary

Power

Võimsus on füüsikaline suurus, mis on arvuliselt võrdne ajaühikus kulutatud energiaga. Võimsust tähistatakse tähega ning seda saab arvutada valemiga:

Võimsuse ühikuks on vatt (lühend ): 1W=1J/1s

Questions and tasks

Teadmiste kontroll: soojusülekande võimsus

Check your knowledge and understanding by answering the questions.

My additional materials